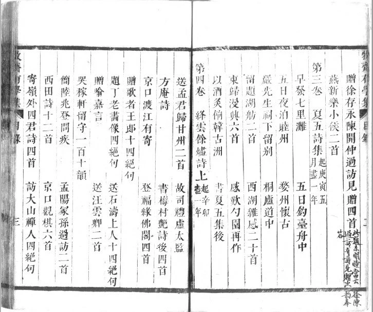
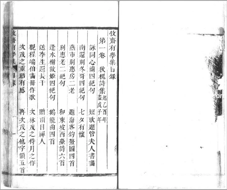
当前位置:首页>古籍扫描>百科书籍>钱谦益《牧斋有学集》51卷PDF 钱谦益《牧斋有学集》51卷PDF 百科书籍 22年5月3日 编辑 前往下载 师者教育师者教育 取消关注 关注 私信 钱谦益(1582—1664),字受之,别字牧斋,清初诗坛的盟主之一。 《有学集》是钱谦益入清以后所作的诗文共五十卷。 pdf电子版文件大小:313MB,共8本 下载权限查看 ¥ 免费下载 评论并刷新后下载 登录后下载 查看演示 {{attr.name}}: 您当前的等级为 登录后免费下载登录 小黑屋反思中,不准下载! 评论后刷新页面下载评论 支付¥以后下载 请先登录 您今天的下载次数(次)用完了,请明天再来 支付积分以后下载立即支付 支付以后下载立即支付 您当前的用户组不允许下载升级会员 您已获得下载权限 您可以每天下载资源次,今日剩余次 相关文章: 宋集珍本丛刊..第60册_12315779-高清pdf古籍电子书 十三经注疏(13)_尔雅注疏-高清pdf古籍电子书 新版《全宋文》四川大學古籍整理研究所編纂-209-高清pdf古籍电子书 01元盱郡重刊宋廖氏本論語何晏集解1.-高清pdf古籍电子书 版权声明 站内部分内容由互联网用户自发贡献,该文观点仅代表作者本人。本站仅提供网络资源分享服务,不拥有所有权,不承担相关法律责任。如发现本站有涉嫌抄袭侵权/违法违规的内容, 请 联系我们 一经核实,立即删除。并对发布账号进行永久封禁处理。在为用户提供最好的产品同时,保证优秀的服务质量。 本站仅提供信息存储空间,不拥有所有权,不承担相关法律责任。 给TA打赏 共{{data.count}}人 人已打赏 百科书籍钱谦益《牧斋有学集》51卷PDF